I have two plots named fig and fig2. Each plot contains 4 geom_ablines and one plot contains legend as well.
I want to plot them in one window vertically aligned. I am using ggarrange function in R but when it plots them, it does not show the geom_ablines and also messes the legend.
However, if I plot them individually, they are fine. The code I am using is:
# First Plot
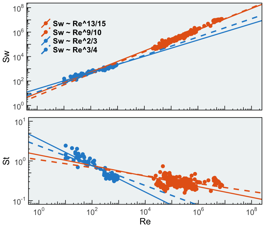
fig <- ggplot(scalingdata, aes(x=Re, y=Sw, color=Size)) +
geom_point(size=3) +
theme_minimal() +
theme(panel.background = element_rect(fill = "#f0f4f5",
size = 0.5, linetype = "solid"),
panel.grid.major = element_blank(), panel.grid.minor = element_blank(),
panel.border = element_rect(color = "black",fill = NA,size = 1),
plot.title = element_text(size = 25, face = "italic"),
axis.title.y = element_text(size=17.5),
axis.text.y = element_text(size=15, face="bold"),
axis.title.x = element_blank(),
axis.text.x = element_blank(),
legend.title =element_blank(),
legend.text = element_text(size=15, face="bold"),
legend.position = c(0.2, 0.7))+
scale_x_log10(limits = c(1,10^8), breaks = trans_breaks("log10", function(x) 10^x),
labels = trans_format("log10", math_format(10^.x))) +
scale_y_log10(limits = c(1,10^8), breaks = trans_breaks("log10", function(x) 10^x),
labels = trans_format("log10", math_format(10^.x))) + annotation_logticks()
lines <- data.frame(name = c("Sw ~ Re^13/15", "Sw ~ Re^9/10", "Sw ~ Re^2/3", "Sw ~ Re^3/4"),
intercept = c(1, 0.79, 1.35, 1.1),
slope = c(13/15, 9/10, 2/3, 3/4))
fig + geom_abline(data = lines, aes(intercept=intercept, slope=slope, color=name, size=name, linetype=name))+
scale_color_manual(name='Size',
values=c("Sw ~ Re^13/15" ='#e66419', "Sw ~ Re^9/10" ='#e66419',
"Sw ~ Re^2/3" ='#278ccf', "Sw ~ Re^3/4" ='#278ccf',
'Fish' = '#e66419', 'Larvae' = '#278ccf'),
breaks=lines$name) +
scale_size_manual(name='Size',
values=c("Sw ~ Re^13/15" =1, "Sw ~ Re^9/10" =1.25, "Sw ~ Re^2/3" =1, "Sw ~ Re^3/4" = 1.25)) +
scale_linetype_manual(name='Size',
values=c("Sw ~ Re^13/15" ='solid', "Sw ~ Re^9/10" ='dashed',
"Sw ~ Re^2/3" ='solid', "Sw ~ Re^3/4" ='dashed'))
# Second Plot
fig2 <- ggplot(scalingdata, aes(x=Re, y=St, color=Size)) +
geom_point(size=3) +
theme_minimal() +
theme(panel.background = element_rect(fill = "#f0f4f5",
size = 0.5, linetype = "solid"),
panel.grid.major = element_blank(), panel.grid.minor = element_blank(),
panel.border = element_rect(color = "black",fill = NA,size = 1),
plot.title = element_text(size = 25, face = "italic"),
axis.title=element_text(size=17.5),
axis.text = element_text(size=15, face="bold"),
legend.position ="none") + # If no legend to be shown
scale_x_log10(limits = c(1,10^8), breaks = trans_breaks("log10", function(x) 10^x),
labels = trans_format("log10", math_format(10^.x))) +
scale_y_log10(limits = c(10^-1,10^1), #breaks = trans_breaks("log10", function(x) 10^x),
labels = trans_format("log10", math_format(10^.x))) + annotation_logticks()
lines1 <- data.frame(name = c("St ~ Re^-2/15", "St ~ Re^-1/10", "St ~ Re^-1/3", "St ~ Re^-1/4"),
intercept = c(0.15, 0.03, 0.55, 0.38),
slope = c(-2/15, -1/10, -1/3, -1/4))
fig2 + geom_abline(data = lines1, aes(intercept=intercept, slope=slope, color=name, size=name, linetype=name))+
scale_color_manual(name='Size',
values=c("St ~ Re^-2/15" ='#e66419', "St ~ Re^-1/10" ='#e66419',
"St ~ Re^-1/3" ='#278ccf', "St ~ Re^-1/4" ='#278ccf',
'Fish' = '#e66419', 'Larvae' = '#278ccf'),
breaks=lines$name) +
scale_size_manual(name='Size',
values=c("St ~ Re^-2/15" =1, "St ~ Re^-1/10" =1.25, "St ~ Re^-1/3" =1, "St ~ Re^-1/4" = 1.25)) +
scale_linetype_manual(name='Size',
values=c("St ~ Re^-2/15" ='solid', "St ~ Re^-1/10" ='dashed',
"St ~ Re^-1/3" ='solid', "St ~ Re^-1/4" ='dashed'))
library(ggpubr)
ggarrange(fig, fig2, widths=c(1.8,1.8),heights=c(1.8,1.5),ncol=1,nrow=2, align='v')
Any idea how to fix this issue?
The MRE is:
structure(list(Sw = c(118612, 119946, 122211, 122442, 124753,
126631, 128301, 128781, 135193, 137232, 137489, 137744, 138263,
141664, 144336, 150394, 152376, 152664, 156417, 158480, 160867,
162985, 170000, 172000, 172000, 175000, 183000, 185000, 185000,
193000, 198000, 202000, 206000, 209000, 213000, 213000, 214000,
221000, 221000, 221000, 221000, 232000, 236000, 236000, 240000,
240000, 241000, 248000, 251000, 256000, 258000, 260000, 271000,
272000, 274000, 292000, 297000, 299000, 308000, 315000, 327000,
327000, 329000, 342000, 359000, 366000, 368000, 376000, 377000,
387000, 394000, 396000, 407000, 416000, 420000, 428000, 431000,
456000, 456000, 463000, 473000, 490000, 491000, 498000, 512000,
518000, 524000, 528000, 574000, 592000, 609000, 611000, 631000,
634000, 646000, 669000, 672000, 677000, 703000, 751000, 762000,
781000, 794000, 823000, 846000, 849000, 853000, 882000, 887000,
898000, 941000, 979000, 1030000, 1060000, 1070000, 1080000, 1090000,
1140000, 1170000, 6469900, 7584900, 7914000, 7995300, 8139300,
8254100, 8482100, 8485600, 8557900, 8642000, 8730800, 8734400,
8779000, 8812900, 8869100, 8902600, 8914600, 8975200, 9075000,
9203000, 9269900, 9481200, 9565700, 9656200, 9664300, 9821400,
9825700, 9989900, 10410400, 10552900, 10820800, 10959400, 11449900,
11855900, 41766.8, 44815, 46421, 51017, 52530, 54453, 55151,
60703, 60748, 61022, 61850, 62083, 64308, 65524, 66017, 66115,
66963, 69001, 70887, 74872, 74928, 76174, 85619, 85940, 300720,
349790, 414460, 507870, 538620, 540430, 570270, 595730, 617120,
667810, 687150, 697620, 704690, 717830, 741100, 754920, 760010,
769000, 825210, 875180, 899020, 1042220, 1665250, 1687780, 1930520,
2071620, 1484730, 1560040, 2205640, 3198090, 3225130, 4840500,
73.698, 91.148, 91.843, 126.687, 130.467, 155.199, 232.717, 602.22,
615.05, 619.05, 626.62, 655.73, 677.34, 747.73, 768.65, 778.66,
816.82, 859.61, 885.06, 906.12, 925.43, 975.49, 1020.79, 1024.12,
1091.84, 1094.5, 1114.2, 1122.36, 1165.94, 1290.31, 1291.33,
1302.88, 1361.19, 1477.34, 1543.46, 1564.86, 1609.89, 1679.22,
1720.21, 1748.66, 1769.04, 1778.18, 1804.09, 1816.32, 1842.21,
1861.27, 1861.88, 1875.09, 1957.71, 1975.41, 2028.23, 2049.21,
2193.15, 2214.41, 2320.91, 190.301, 213.437, 215.963, 217.451,
226.594, 227.932, 243.172, 244.607, 292.403, 297.318, 308.91,
310.428, 319.697, 332.16, 339.738, 345.449, 363.165, 388.971,
399.016, 414.572, 415.794, 453.714), Re = c(77600, 36434, 49900,
70000, 81300, 54900, 83300, 73400, 49100, 70000, 78800, 53200,
86600, 79400, 71700, 50700, 58000, 97400, 64200, 92200, 79400,
70000, 69500, 95900, 54800, 74500, 128000, 61200, 94400, 121000,
108000, 139000, 102000, 156000, 46100, 125000, 83200, 113000,
123000, 94400, 146000, 88600, 82600, 155000, 102000, 155000,
125000, 169000, 122000, 81900, 114000, 159000, 133000, 155000,
114000, 169000, 144000, 209000, 156000, 189000, 137000, 168000,
186000, 187000, 184000, 186000, 246000, 152000, 231000, 332000,
202000, 222000, 239000, 214000, 302000, 219000, 307000, 260000,
312000, 241000, 348000, 235000, 196000, 324000, 244000, 324000,
357000, 250000, 357000, 380000, 337000, 3e+05, 351000, 414000,
389000, 293000, 417000, 335000, 374000, 512000, 401000, 343000,
537000, 414000, 595000, 392000, 448000, 421000, 633000, 496000,
633000, 466000, 648000, 524000, 729000, 516000, 504000, 795000,
802000, 4114000, 3809200, 4687400, 4130800, 4228400, 4891300,
3757100, 3974800, 4798000, 4516600, 4074300, 4310400, 4479500,
3904400, 4358000, 6464600, 3851100, 4824400, 4412200, 5069000,
4642300, 4316300, 6473400, 4096700, 4572600, 5340600, 5041200,
5224500, 5429300, 5481800, 5952800, 7097300, 7165900, 7781600,
25778, 29630, 20784, 28523, 38410, 36744, 33414, 56160, 41702,
49165, 30384, 42771, 33623, 46439, 47329, 24810, 38161, 56150,
51390, 47929, 54400, 56860, 59810, 67890, 303110, 236540, 282380,
354240, 408170, 391180, 377560, 408170, 391180, 402420, 526760,
435040, 411070, 585800, 508420, 450730, 497730, 463680, 477010,
745400, 553540, 846800, 889800, 935100, 1047300, 1148400, 553800,
723800, 746600, 1720200, 2939400, 2374500, 10.115, 10.11, 12.227,
29.025, 20.106, 10.165, 17.613, 83.12, 105.2, 123.1, 148.64,
113.79, 111.14, 333.77, 120.21, 283, 206.68, 287.45, 341.67,
318.34, 291.98, 366.66, 456.8, 296.57, 467.7, 439.2, 415.7, 390.39,
456.8, 308.38, 478.8, 671.2, 606, 587.2, 542.8, 749, 760.9, 692.4,
659.3, 667.6, 643, 560.6, 777.7, 686.5, 735.2, 856.6, 690.8,
870, 710.4, 894.7, 730.6, 825, 817.3, 920.1, 880.8, 25.031, 32.901,
29.787, 27.193, 23.62, 29.056, 30.791, 23.425, 30.537, 36.339,
50.199, 58.272, 52.758, 54.085, 68.21, 27.193, 71.09, 50.617,
48.967, 44.702, 73.49, 73.49), Species = c("Dace, Trout, and Goldfish",
"Dace, Trout, and Goldfish", "Dace, Trout, and Goldfish", "Dace, Trout, and Goldfish",
"Dace, Trout, and Goldfish", "Dace, Trout, and Goldfish", "Dace, Trout, and Goldfish",
"Dace, Trout, and Goldfish", "Dace, Trout, and Goldfish", "Dace, Trout, and Goldfish",
"Dace, Trout, and Goldfish", "Dace, Trout, and Goldfish", "Dace, Trout, and Goldfish",
"Dace, Trout, and Goldfish", "Dace, Trout, and Goldfish", "Dace, Trout, and Goldfish",
"Dace, Trout, and Goldfish", "Dace, Trout, and Goldfish", "Dace, Trout, and Goldfish",
"Dace, Trout, and Goldfish", "Dace, Trout, and Goldfish", "Dace, Trout, and Goldfish",
"Dace, Trout, and Goldfish", "Dace, Trout, and Goldfish", "Dace, Trout, and Goldfish",
"Dace, Trout, and Goldfish", "Dace, Trout, and Goldfish", "Dace, Trout, and Goldfish",
"Dace, Trout, and Goldfish", "Dace, Trout, and Goldfish", "Dace, Trout, and Goldfish",
"Dace, Trout, and Goldfish", "Dace, Trout, and Goldfish", "Dace, Trout, and Goldfish",
"Dace, Trout, and Goldfish", "Dace, Trout, and Goldfish", "Dace, Trout, and Goldfish",
"Dace, Trout, and Goldfish", "Dace, Trout, and Goldfish", "Dace, Trout, and Goldfish",
"Dace, Trout, and Goldfish", "Dace, Trout, and Goldfish", "Dace, Trout, and Goldfish",
"Dace, Trout, and Goldfish", "Dace, Trout, and Goldfish", "Dace, Trout, and Goldfish",
"Dace, Trout, and Goldfish", "Dace, Trout, and Goldfish", "Dace, Trout, and Goldfish",
"Dace, Trout, and Goldfish", "Dace, Trout, and Goldfish", "Dace, Trout, and Goldfish",
"Dace, Trout, and Goldfish", "Dace, Trout, and Goldfish", "Dace, Trout, and Goldfish",
"Dace, Trout, and Goldfish", "Dace, Trout, and Goldfish", "Dace, Trout, and Goldfish",
"Dace, Trout, and Goldfish", "Dace, Trout, and Goldfish", "Dace, Trout, and Goldfish",
"Dace, Trout, and Goldfish", "Dace, Trout, and Goldfish", "Dace, Trout, and Goldfish",
"Dace, Trout, and Goldfish", "Dace, Trout, and Goldfish", "Dace, Trout, and Goldfish",
"Dace, Trout, and Goldfish", "Dace, Trout, and Goldfish", "Dace, Trout, and Goldfish",
"Dace, Trout, and Goldfish", "Dace, Trout, and Goldfish", "Dace, Trout, and Goldfish",
"Dace, Trout, and Goldfish", "Dace, Trout, and Goldfish", "Dace, Trout, and Goldfish",
"Dace, Trout, and Goldfish", "Dace, Trout, and Goldfish", "Dace, Trout, and Goldfish",
"Dace, Trout, and Goldfish", "Dace, Trout, and Goldfish", "Dace, Trout, and Goldfish",
"Dace, Trout, and Goldfish", "Dace, Trout, and Goldfish", "Dace, Trout, and Goldfish",
"Dace, Trout, and Goldfish", "Dace, Trout, and Goldfish", "Dace, Trout, and Goldfish",
"Dace, Trout, and Goldfish", "Dace, Trout, and Goldfish", "Dace, Trout, and Goldfish",
"Dace, Trout, and Goldfish", "Dace, Trout, and Goldfish", "Dace, Trout, and Goldfish",
"Dace, Trout, and Goldfish", "Dace, Trout, and Goldfish", "Dace, Trout, and Goldfish",
"Dace, Trout, and Goldfish", "Dace, Trout, and Goldfish", "Dace, Trout, and Goldfish",
"Dace, Trout, and Goldfish", "Dace, Trout, and Goldfish", "Dace, Trout, and Goldfish",
"Dace, Trout, and Goldfish", "Dace, Trout, and Goldfish", "Dace, Trout, and Goldfish",
"Dace, Trout, and Goldfish", "Dace, Trout, and Goldfish", "Dace, Trout, and Goldfish",
"Dace, Trout, and Goldfish", "Dace, Trout, and Goldfish", "Dace, Trout, and Goldfish",
"Dace, Trout, and Goldfish", "Dace, Trout, and Goldfish", "Dace, Trout, and Goldfish",
"Dace, Trout, and Goldfish", "Dace, Trout, and Goldfish", "Dace, Trout, and Goldfish",
"Dace, Trout, and Goldfish", "Giant Bluefin Tuna", "Giant Bluefin Tuna",
"Giant Bluefin Tuna", "Giant Bluefin Tuna", "Giant Bluefin Tuna",
"Giant Bluefin Tuna", "Giant Bluefin Tuna", "Giant Bluefin Tuna",
"Giant Bluefin Tuna", "Giant Bluefin Tuna", "Giant Bluefin Tuna",
"Giant Bluefin Tuna", "Giant Bluefin Tuna", "Giant Bluefin Tuna",
"Giant Bluefin Tuna", "Giant Bluefin Tuna", "Giant Bluefin Tuna",
"Giant Bluefin Tuna", "Giant Bluefin Tuna", "Giant Bluefin Tuna",
"Giant Bluefin Tuna", "Giant Bluefin Tuna", "Giant Bluefin Tuna",
"Giant Bluefin Tuna", "Giant Bluefin Tuna", "Giant Bluefin Tuna",
"Giant Bluefin Tuna", "Giant Bluefin Tuna", "Giant Bluefin Tuna",
"Giant Bluefin Tuna", "Giant Bluefin Tuna", "Giant Bluefin Tuna",
"Giant Bluefin Tuna", "Giant Bluefin Tuna", "Stingrays", "Stingrays",
"Stingrays", "Stingrays", "Stingrays", "Stingrays", "Stingrays",
"Stingrays", "Stingrays", "Stingrays", "Stingrays", "Stingrays",
"Stingrays", "Stingrays", "Stingrays", "Stingrays", "Stingrays",
"Stingrays", "Stingrays", "Stingrays", "Stingrays", "Stingrays",
"Stingrays", "Stingrays", "Saithe and Mackerel", "Saithe and Mackerel",
"Saithe and Mackerel", "Saithe and Mackerel", "Saithe and Mackerel",
"Saithe and Mackerel", "Saithe and Mackerel", "Saithe and Mackerel",
"Saithe and Mackerel", "Saithe and Mackerel", "Saithe and Mackerel",
"Saithe and Mackerel", "Saithe and Mackerel", "Saithe and Mackerel",
"Saithe and Mackerel", "Saithe and Mackerel", "Saithe and Mackerel",
"Saithe and Mackerel", "Saithe and Mackerel", "Saithe and Mackerel",
"Saithe and Mackerel", "Saithe and Mackerel", "Saithe and Mackerel",
"Saithe and Mackerel", "Saithe and Mackerel", "Saithe and Mackerel",
"Sharks", "Sharks", "Sharks", "Sharks", "Sharks", "Sharks", "Ascidian Larvae",
"Ascidian Larvae", "Ascidian Larvae", "Ascidian Larvae", "Ascidian Larvae",
"Ascidian Larvae", "Ascidian Larvae", "Larval Zebrafish40", "Larval Zebrafish40",
"Larval Zebrafish40", "Larval Zebrafish40", "Larval Zebrafish40",
"Larval Zebrafish40", "Larval Zebrafish40", "Larval Zebrafish40",
"Larval Zebrafish40", "Larval Zebrafish40", "Larval Zebrafish40",
"Larval Zebrafish40", "Larval Zebrafish40", "Larval Zebrafish40",
"Larval Zebrafish40", "Larval Zebrafish40", "Larval Zebrafish40",
"Larval Zebrafish40", "Larval Zebrafish40", "Larval Zebrafish40",
"Larval Zebrafish40", "Larval Zebrafish40", "Larval Zebrafish40",
"Larval Zebrafish40", "Larval Zebrafish40", "Larval Zebrafish40",
"Larval Zebrafish40", "Larval Zebrafish40", "Larval Zebrafish40",
"Larval Zebrafish40", "Larval Zebrafish40", "Larval Zebrafish40",
"Larval Zebrafish40", "Larval Zebrafish40", "Larval Zebrafish40",
"Larval Zebrafish40", "Larval Zebrafish40", "Larval Zebrafish40",
"Larval Zebrafish40", "Larval Zebrafish40", "Larval Zebrafish40",
"Larval Zebrafish40", "Larval Zebrafish40", "Larval Zebrafish40",
"Larval Zebrafish40", "Larval Zebrafish40", "Larval Zebrafish40",
"Larval Zebrafish40", "Larval Zebrafish61", "Larval Zebrafish61",
"Larval Zebrafish61", "Larval Zebrafish61", "Larval Zebrafish61",
"Larval Zebrafish61", "Larval Zebrafish61", "Larval Zebrafish61",
"Larval Zebrafish61", "Larval Zebrafish61", "Larval Zebrafish61",
"Larval Zebrafish61", "Larval Zebrafish61", "Larval Zebrafish61",
"Larval Zebrafish61", "Larval Zebrafish61", "Larval Zebrafish61",
"Larval Zebrafish61", "Larval Zebrafish61", "Larval Zebrafish61",
"Larval Zebrafish61", "Larval Zebrafish61"), Size = c("Fish",
"Fish", "Fish", "Fish", "Fish", "Fish", "Fish", "Fish", "Fish",
"Fish", "Fish", "Fish", "Fish", "Fish", "Fish", "Fish", "Fish",
"Fish", "Fish", "Fish", "Fish", "Fish", "Fish", "Fish", "Fish",
"Fish", "Fish", "Fish", "Fish", "Fish", "Fish", "Fish", "Fish",
"Fish", "Fish", "Fish", "Fish", "Fish", "Fish", "Fish", "Fish",
"Fish", "Fish", "Fish", "Fish", "Fish", "Fish", "Fish", "Fish",
"Fish", "Fish", "Fish", "Fish", "Fish", "Fish", "Fish", "Fish",
"Fish", "Fish", "Fish", "Fish", "Fish", "Fish", "Fish", "Fish",
"Fish", "Fish", "Fish", "Fish", "Fish", "Fish", "Fish", "Fish",
"Fish", "Fish", "Fish", "Fish", "Fish", "Fish", "Fish", "Fish",
"Fish", "Fish", "Fish", "Fish", "Fish", "Fish", "Fish", "Fish",
"Fish", "Fish", "Fish", "Fish", "Fish", "Fish", "Fish", "Fish",
"Fish", "Fish", "Fish", "Fish", "Fish", "Fish", "Fish", "Fish",
"Fish", "Fish", "Fish", "Fish", "Fish", "Fish", "Fish", "Fish",
"Fish", "Fish", "Fish", "Fish", "Fish", "Fish", "Fish", "Fish",
"Fish", "Fish", "Fish", "Fish", "Fish", "Fish", "Fish", "Fish",
"Fish", "Fish", "Fish", "Fish", "Fish", "Fish", "Fish", "Fish",
"Fish", "Fish", "Fish", "Fish", "Fish", "Fish", "Fish", "Fish",
"Fish", "Fish", "Fish", "Fish", "Fish", "Fish", "Fish", "Fish",
"Fish", "Fish", "Fish", "Fish", "Fish", "Fish", "Fish", "Fish",
"Fish", "Fish", "Fish", "Fish", "Fish", "Fish", "Fish", "Fish",
"Fish", "Fish", "Fish", "Fish", "Fish", "Fish", "Fish", "Fish",
"Fish", "Fish", "Fish", "Fish", "Fish", "Fish", "Fish", "Fish",
"Fish", "Fish", "Fish", "Fish", "Fish", "Fish", "Fish", "Fish",
"Fish", "Fish", "Fish", "Fish", "Fish", "Fish", "Fish", "Fish",
"Fish", "Fish", "Fish", "Fish", "Fish", "Fish", "Fish", "Fish",
"Larvae", "Larvae", "Larvae", "Larvae", "Larvae", "Larvae", "Larvae",
"Larvae", "Larvae", "Larvae", "Larvae", "Larvae", "Larvae", "Larvae",
"Larvae", "Larvae", "Larvae", "Larvae", "Larvae", "Larvae", "Larvae",
"Larvae", "Larvae", "Larvae", "Larvae", "Larvae", "Larvae", "Larvae",
"Larvae", "Larvae", "Larvae", "Larvae", "Larvae", "Larvae", "Larvae",
"Larvae", "Larvae", "Larvae", "Larvae", "Larvae", "Larvae", "Larvae",
"Larvae", "Larvae", "Larvae", "Larvae", "Larvae", "Larvae", "Larvae",
"Larvae", "Larvae", "Larvae", "Larvae", "Larvae", "Larvae", "Larvae",
"Larvae", "Larvae", "Larvae", "Larvae", "Larvae", "Larvae", "Larvae",
"Larvae", "Larvae", "Larvae", "Larvae", "Larvae", "Larvae", "Larvae",
"Larvae", "Larvae", "Larvae", "Larvae", "Larvae", "Larvae", "Larvae"
), St = c(0.243268582034501, 0.523959877133545, 0.389788362056428,
0.278388628178544, 0.244219067477153, 0.367102048635318, 0.245134340978561,
0.279238212500755, 0.438219631492664, 0.31201571537706, 0.277690390877163,
0.412078707080919, 0.254101483129468, 0.283960618825043, 0.320386808203692,
0.472108334099284, 0.418126498248202, 0.249457632595693, 0.387764494072905,
0.273566338387061, 0.322452372293089, 0.370568682018262, 0.38929895045003,
0.285449282566378, 0.499536244491161, 0.373853018937899, 0.227541300611154,
0.481104503595853, 0.311902495975278, 0.253858117251408, 0.291783380018674,
0.231289376443841, 0.321429819699716, 0.213226316167493, 0.73535626042963,
0.271199388846448, 0.409363920393332, 0.311266904187258, 0.28596065181431,
0.372597035732629, 0.240912055980549, 0.416747860646413, 0.454727345483648,
0.242325669270641, 0.374481343339475, 0.246432884004042, 0.306850012732366,
0.233552269751365, 0.327440961481463, 0.497479489076128, 0.360191923659416,
0.260252757478063, 0.324292396384391, 0.279290601871247, 0.382529407297209,
0.274988962771768, 0.328256302521008, 0.227690032080688, 0.314228255404726,
0.265257618198795, 0.37987988825258, 0.309783004110735, 0.281515343185172,
0.291074135050228, 0.310524407391415, 0.313175123421803, 0.23808488657843,
0.393698149116106, 0.259745771586872, 0.185520538993253, 0.310430202684134,
0.283897342720872, 0.271028913657513, 0.309384586459903, 0.221340793993696,
0.311041809833107, 0.223438501844327, 0.279132632073809, 0.232610526728174,
0.305761686039938, 0.216322161048327, 0.331854211704024, 0.398698440415127,
0.244626470116666, 0.333963689797827, 0.254450826346251, 0.233605028464149,
0.336134453781513, 0.255895584615308, 0.247946068379505, 0.287611672670147,
0.324144809438927, 0.286115482193914, 0.243729463678313, 0.264302963531755,
0.363393883771318, 0.256479308531784, 0.321634759738359, 0.299159527690512,
0.233447427266361, 0.302433374165808, 0.362389853900744, 0.235323518267981,
0.316386985184939, 0.226293726046568, 0.344699568138944, 0.303033145076212,
0.333430716272689, 0.223017542504579, 0.288146783640142, 0.236594709692005,
0.334361212296077, 0.252977172911813, 0.321953903004644, 0.233601359236799,
0.333114218203138, 0.344203337900817, 0.228221648865378, 0.232183102213908,
0.250295128437197, 0.316909457357351, 0.268709577645423, 0.308048935041855,
0.306358622430061, 0.268574355248053, 0.359310368633893, 0.339771064454215,
0.283874302307228, 0.3045241557553, 0.341051647591493, 0.322503638696486,
0.311913824779625, 0.359239145081061, 0.323900368274474, 0.219176667244061,
0.368414047393468, 0.296087410852063, 0.327348653980426, 0.288952360656955,
0.317805173505505, 0.349599499061661, 0.23518164782688, 0.375138127690756,
0.336377010833042, 0.292686346632698, 0.310204924915008, 0.304323523404437,
0.30517060120053, 0.306385178491378, 0.289305836077696, 0.245760867447159,
0.254302170218483, 0.242484923070044, 0.257870165748749, 0.240719274240546,
0.355471244064845, 0.2846681185215, 0.217661796677678, 0.235860109140741,
0.262690301692974, 0.17202920082822, 0.231843122013434, 0.197537480456343,
0.323976771042564, 0.231016184479705, 0.304402110063851, 0.224562202134299,
0.221997238656593, 0.424123516982184, 0.279276421804133, 0.195580134425664,
0.219536681625896, 0.248622358777944, 0.219212016357345, 0.213215622321579,
0.227832389358595, 0.20146919759615, 0.157899648862937, 0.235354178413181,
0.233597292524979, 0.228178161508506, 0.210019930393074, 0.219878073423756,
0.240388487016993, 0.232288390949214, 0.251079985698921, 0.264114641433334,
0.207614593756514, 0.255216558855981, 0.272835854188107, 0.19502547907645,
0.231992157091137, 0.266565280053204, 0.243021448263837, 0.263953297612413,
0.27533163553866, 0.186864632918074, 0.258487448689974, 0.195883416277148,
0.297855865613987, 0.287261150364813, 0.293374469828208, 0.28710187409247,
0.426691163020906, 0.343033292092993, 0.47018174096222, 0.295890385833758,
0.17462549544427, 0.32444207224037, 1.15960193451398, 1.43487842039073,
1.1954881211204, 0.694670633111126, 1.03274740893889, 2.42996854423028,
2.10287709536259, 1.15310473651356, 0.930494475702483, 0.800362608672448,
0.670946160047344, 0.917149369794335, 0.969963623056172, 0.356546865546547,
1.01767041791117, 0.437905647321569, 0.628994758168588, 0.475946636660009,
0.41227308378791, 0.453016082808868, 0.504440080025434, 0.423426859723028,
0.355655416919196, 0.549594966348079, 0.371544423161221, 0.396618119014455,
0.426581724604903, 0.457564804982094, 0.406227408970275, 0.66592753876014,
0.429242005148684, 0.308938181405404, 0.357491106253483, 0.400417939035907,
0.452558426733727, 0.332516184043711, 0.336734593477769, 0.385984313372426,
0.415257522282799, 0.416877219867739, 0.437870609858534, 0.504826034458151,
0.3692029958207, 0.421086132923672, 0.398797799365072, 0.345820252410603,
0.428961656779362, 0.343022005040261, 0.43859585449659, 0.351397709779422,
0.441831474644956, 0.395322591846656, 0.42707677378149, 0.383038227789757,
0.419372655758695, 1.20999057171145, 1.0324754309382, 1.15390937655487,
1.27269225907284, 1.52681925668428, 1.24850012592141, 1.25692362442215,
1.66191343132771, 1.52396351968135, 1.30216898419267, 0.979390794690607,
0.84785205830123, 0.964426984707154, 0.977438888352537, 0.792711561574157,
2.02183603756457, 0.813045009817121, 1.22303796362965, 1.29689832478866,
1.47601961377895, 0.900469664727307, 0.982591604164768)), row.names = 300:585, class = "data.frame")
Thank you
>Solution :
In your code, you aren’t saving the lines to the plot, you are adding them without saving them. Add something like:
a <- fig + geom_abline(data = lines, aes(intercept=intercept, slope=slope, color=name, size=name, linetype=name))+
scale_color_manual(name='Size',
values=c("Sw ~ Re^13/15" ='#e66419', "Sw ~ Re^9/10" ='#e66419',
"Sw ~ Re^2/3" ='#278ccf', "Sw ~ Re^3/4" ='#278ccf',
'Fish' = '#e66419', 'Larvae' = '#278ccf'),
breaks=lines$name) +
scale_size_manual(name='Size',
values=c("Sw ~ Re^13/15" =1, "Sw ~ Re^9/10" =1.25, "Sw ~ Re^2/3" =1, "Sw ~ Re^3/4" = 1.25)) +
scale_linetype_manual(name='Size',
values=c("Sw ~ Re^13/15" ='solid', "Sw ~ Re^9/10" ='dashed',
"Sw ~ Re^2/3" ='solid', "Sw ~ Re^3/4" ='dashed'))
b <- fig2 + geom_abline(data = lines1, aes(intercept=intercept, slope=slope, color=name, size=name, linetype=name))+
scale_color_manual(name='Size',
values=c("St ~ Re^-2/15" ='#e66419', "St ~ Re^-1/10" ='#e66419',
"St ~ Re^-1/3" ='#278ccf', "St ~ Re^-1/4" ='#278ccf',
'Fish' = '#e66419', 'Larvae' = '#278ccf'),
breaks=lines$name) +
scale_size_manual(name='Size',
values=c("St ~ Re^-2/15" =1, "St ~ Re^-1/10" =1.25, "St ~ Re^-1/3" =1, "St ~ Re^-1/4" = 1.25)) +
scale_linetype_manual(name='Size',
values=c("St ~ Re^-2/15" ='solid', "St ~ Re^-1/10" ='dashed',
"St ~ Re^-1/3" ='solid', "St ~ Re^-1/4" ='dashed'))
The try plotting both (I used cowplot):
library(cowplot)
plot_grid(a, b, labels = NA, nrow = 2)
