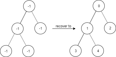
In the below code why map size is always 1, it is not saving previous values of root->val in the map as I can see in stdout. I was expecting that it should remember all the values put in the map.
/**
* Definition for a binary tree node.
* struct TreeNode {
* int val;
* TreeNode *left;
* TreeNode *right;
* TreeNode() : val(0), left(nullptr), right(nullptr) {}
* TreeNode(int x) : val(x), left(nullptr), right(nullptr) {}
* TreeNode(int x, TreeNode *left, TreeNode *right) : val(x), left(left), right(right) {}
* };
*/
class FindElements {
public:
unordered_map<int,int>mp;
FindElements(TreeNode* root) {
if(!root) return;
if(root->val==-1){
root->val=0;
}
mp[root->val]=1;
// output
cout<<root->val<<" "<<mp[root->val]<<" "<<mp.size()<<endl;
if(root->left){
root->left->val=2*(root->val)+1;
FindElements(root->left);
}
if(root->right){
root->right->val=2*(root->val)+2;
FindElements(root->right);
}
}
bool find(int target) {
return mp[target];
}
};
/**
* Your FindElements object will be instantiated and called as such:
* FindElements* obj = new FindElements(root);
* bool param_1 = obj->find(target);
*/
Input:
["FindElements","find","find","find"]
[[[-1,-1,-1,-1,-1]] , [1] , [3] , [5]]
Output:
[null,false,false,false]
Expected:
[null,true,true,false]
stdout:
0 1 1
1 1 1
3 1 1
4 1 1
2 1 1
key,value,map-size
I was expecting that in each row map size values get increased.
>Solution :
Your code looks like you make an recursive call, to make a depth first search on the tree, but in fact it does not.
Because you are not using a normal member function, but the constructor, and a constructor can not be called recursive.
The syntax that look like recursion is instead the creation of additional temporary objects which will be destroyed after tge line ends.
