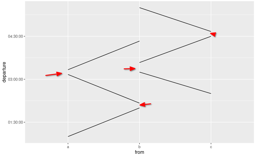
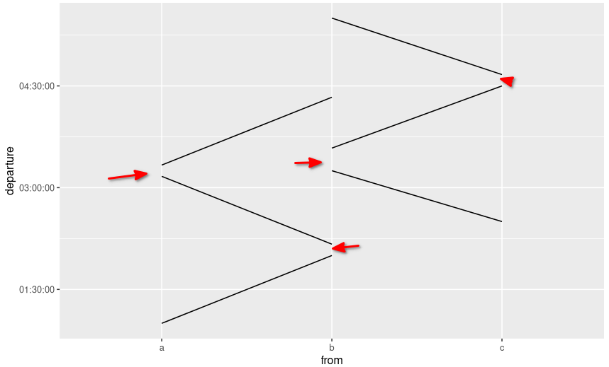
I’m trying to draw a bus schedule diagram with ggplot. On the X axis I want bus stops and on the Y axis I want time. I’m nearly there, but I can’t find the way to make a horizontal line between each travel. Here’s my plot and the dataframe.
ggplot(dat,
aes(x = from,
xend = to,
y = departure,
yend = arrival,
)) +
geom_segment()
geom_line()
tibble::tribble(
~from, ~to, ~departure, ~arrival,
"a", "b", "01:00:00", "02:00:00",
"b", "a", "02:10:00", "03:10:00",
"a", "b", "03:20:00", "04:20:00",
"c", "b", "02:30:00", "03:15:00",
"b", "c", "03:35:00", "04:30:00",
"c", "b", "04:40:00", "05:30:00"
)
>Solution :
One option would be to use dplyr::lead to prepare a dataset containing the coordinates of the connecting segments like so:
library(ggplot2)
library(dplyr)
library(tidyr)
hlines <- df |>
mutate(departure = ifelse(lead(from) == to, lead(departure), NA),
from = to) |>
tidyr::drop_na()
ggplot(df, aes(x = from, xend = to, y = departure, yend = arrival)) +
geom_segment() +
geom_segment(data = hlines)

