I am trying to create a bar chart from data that looks similar to this:
| bird | dr | season |
|---|---|---|
| ambi | 45 | molting |
| ambi | 45 | molting |
| ambi | 45 | molting |
| ambi | 45 | breeding |
| ambi | 45 | breeding |
| ambi | 45 | winter |
| ambi | 45 | winter |
| abum | 60 | molting |
| abum | 60 | molting |
| abum | 60 | molting |
| abum | 60 | breeding |
| abum | 60 | breeding |
| abum | 60 | winter |
| abum | 60 | winter |
I would like all birds listed on the y axis, and I would like the x axis to be dr. I would like the bars to be colored-coded based on proportion of observations from each season. For example, for abum, I would like the bar to reach 0.6, and I would like the bar to be color-coded based on season. abum has 3/7 observations during the molting season, 2/7 during breeding, and 2/7 during winter. I would like the colors in the bar to reflect this. This is the code I have so far:
plot <- ggplot(data=test, aes(x=dr, y=bird, fill=season)) +
geom_bar(stat="identity")+
scale_fill_brewer(palette="Paired")+
theme_minimal()
This sets up my birds correctly on the y axis and color codes the bars, but I think it is using some kind of count value as opposed to the dr value on the x axis.
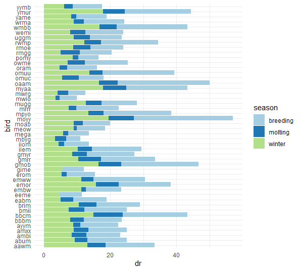
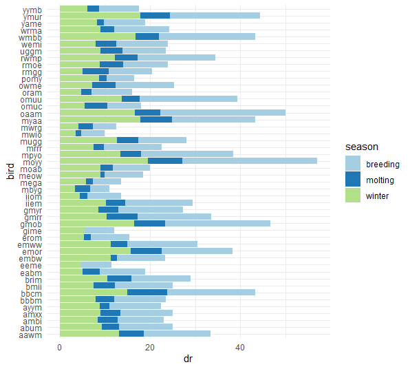
An image of what the code is producing:

The x axis does not reflect the dr values. I am not sure where the x axis values are coming from. I would also like to reverse the order of the birds, so that they are in alphabetical order from top to bottom.
>Solution :
I’m not sure about dr part. If there’s something wrong, please let me know.
library(dplyr)
library(ggplot2)
library(forcats)
test %>%
group_by(bird, season) %>%
summarise(key = unique(dr),
dr = sum(dr)) %>%
group_by(bird) %>%
mutate(dr = dr/sum(dr) * key/100) %>%
ungroup %>%
mutate(bird = fct_reorder(bird, desc(bird))) %>%
ggplot(aes(x=bird, y=dr, fill=season)) +
geom_bar(stat="identity")+
scale_fill_brewer(palette="Paired")+
theme_minimal() +
coord_flip()
