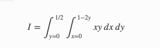
How can the below integral be calculated in R? :
The difficulty is that in the inner integral the upper bound contains one of the variables.
Anyone knows ?
The result must be :
0.0104166666666667
>Solution :
You can get this from:
integrate(Vectorize(function(y) {
integrate(function(x) {x*y}, 0, 1-2*y)$value }), 0,0.5)
0.01041667 with absolute error < 1.2e-16
