I am trying to add the Kruskal Wallis pvalue to my boxplots and although I have seen a lot of posts with the solution, I cannot make it work.
This is my data and the code to run the boxplots:
library(ggplot2)
library(dplyr)
set.seed(1234)
Gene <- floor(runif(25, min=0, max=101))
Age <- floor(runif(25, min=18, max=75))
Group <- c("Group1", "Group1", "Group3", "Group2", "Group1", "Group3", "Group2", "Group2", "Group2", "Group1", "Group1", "Group3", "Group1", "Group2", "Group1", "Group2", "Group3", "Group1", "Group3", "Group3", "Group2", "Group1", "Group3", "Group3","Group2")
df <- data.frame(Gene, Age, Group)
mybreaks <- seq(min(df$Age)-1, to=max(df$Age)+10, by=10)
df$groups_age <- cut(df$Age, breaks = mybreaks, by=10)
bp <- ggplot(df, aes(x=groups_age, y=Gene, group=groups_age)) +
geom_boxplot(aes(fill=groups_age)) +
facet_grid(. ~ Group)
bp
In this post, I see one way to do it, but when I try to do the same, I get this error Error in FUN(X[[i]], ...) : object 'groups_age' not found and the plot is not shown.
The code:
pv <- df %>%
group_by(Group) %>%
summarize(Kruskal_pvalue = kruskal.test(Gene ~ groups_age)$p.value)
bp <- ggplot(df, aes(x=groups_age, y=Gene, group=groups_age)) +
geom_boxplot(aes(fill=groups_age)) +
facet_grid(. ~ Group) +
geom_text(data=pv, aes(x=2, y=75, label=paste0("Kruskal-Wallis\n p=",Kruskal_pvalue)))
bp
Note that I put x and y manually, just to place the value. However, I would like to do it more automatically, depending on the value of the gene if it changes.
Does anyone know why I am getting that error and why it is not working?
Thanks very much in advance
Regards
>Solution :
The issue is that you made group=groups_age a global aesthetic. All layers will inherit the global aes and hence all layers will look for a column called groups_age in the data provided to the layer. As the data pv used in geom_text does not contain a column of this name you get an error.
To solve your issue you could drop group=groups_age as it is not needed in your case. For more general cases you have to be more specific what you make a local or global aes. Additionally each geom has an inherits.aes argument (which by default is TRUE) to prevent that global aes are inherited:
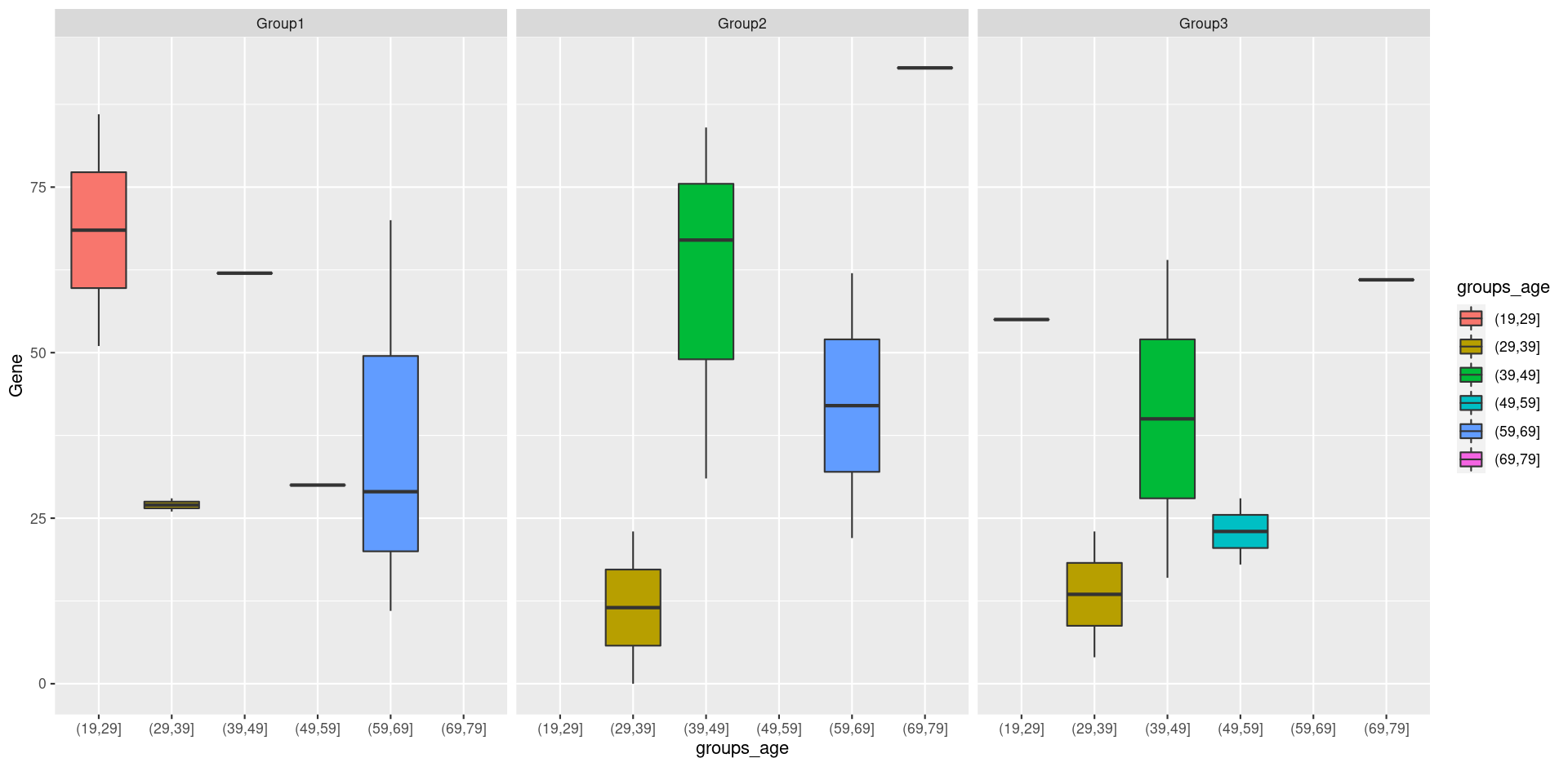
library(ggplot2)
bp <- ggplot(df, aes(x = groups_age, y = Gene)) +
geom_boxplot(aes(fill = groups_age)) +
facet_grid(. ~ Group) +
geom_text(data = pv, aes(x = 2, y = 75, label = paste0("Kruskal-Wallis\n p=", Kruskal_pvalue)))
bp

Created on 2021-12-21 by the reprex package (v2.0.1)
