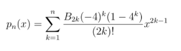
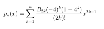
I’m trying to calculate the nth term but its giving me wrong answers
import math
def bernoulli(m):
if m == 0:
return 1
else:
t = 0
for k in range(0, m):
t += math.comb(m, k) * bernoulli(k) / (m - k + 1)
return 1 - t
def pn(n, x):
sum = 0
for i in range(n):
sum += ((bernoulli(2 * i)) / math.factorial(2 * i)) * (-4**i) * (1 - (4**i)) * (x**((2 * i) - 1))
Equation:
>Solution :
Here are a few comments:
- In python, the convention is to include the start, and exclude the end.
list(range(1,4))is only[1, 2, 3], not[1,2,3,4]. Thus your Bernouilli loop should befor k in range(0, m+1)and yourpnloop should befor i in range(1, n+1). - Exponentiation has a higher precedence than most operators.
-4**iis parsed as-(4**i), not as(-4)**i. sumis already the name of a builtin function in python. It is very strongly advised not to shadow the names of builtins. Call that variablesortotalor something else, notsum.
Finally, the code becomes:
import math
def bernoulli(m):
if m == 0:
return 1
else:
t = 0
for k in range(0, m+1):
t += math.comb(m, k) * bernoulli(k) / (m - k + 1)
return 1 - t
def pn(n, x):
s = 0
for i in range(1, n+1):
s += ((bernoulli(2 * i)) / math.factorial(2 * i)) * ((-4)**i) * (1 - (4**i)) * (x**(2 * i - 1))
return s
And, using builtin function sum:
import math
def bernoulli(m):
if m == 0:
return 1
else:
return 1 - sum(math.comb(m, k) * bernoulli(k) / (m - k + 1)
for k in range(0, m+1))
def pn(n, x):
return sum((bernoulli(2 * i)) / math.factorial(2 * i)) * ((-4)**i) * (1 - (4**i)) * (x**(2 * i - 1)
for i in range(1, n+1))
