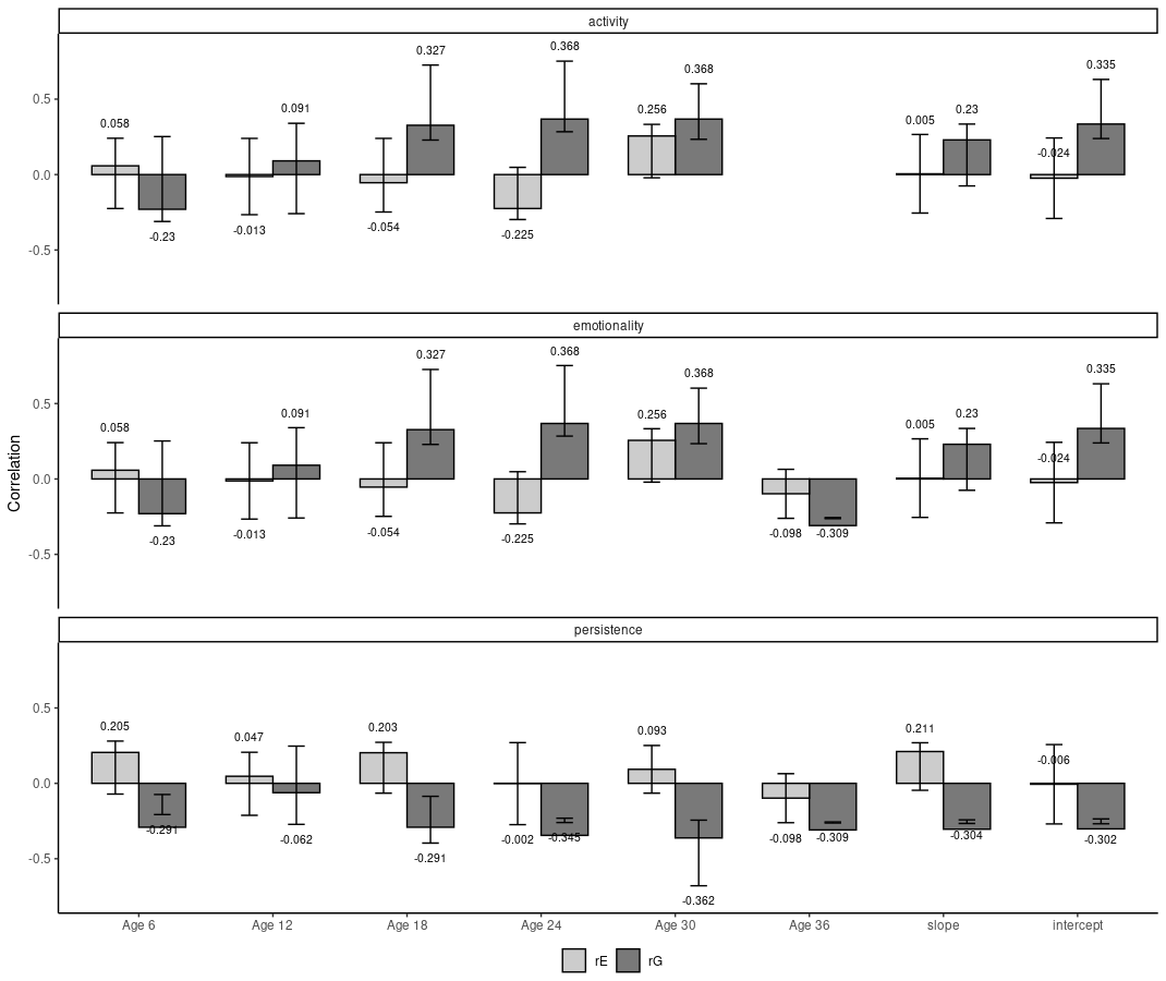
I have the following data and code…
#generate example data
rG_activity <- c("0.230", "0.335", NA, "0.368", "0.368", "0.327", "0.091", "-0.230")
rG_activity_error_intervals <- c("(-0.075, 0.335)", "(0.239, 0.631)", NA, "(0.234, 0.602)", "(0.284, 0.752)", "(0.229, 0.726)", "(-0.259, 0.340)", "(-0.311, 0.252)")
rG_task_persistence <- c("-0.304", "-0.302", "-0.309", "-0.362", "-0.345", "-0.291", "-0.062", "-0.291")
rG_task_persistence_error_intervals <- c("(-0.242, -0.266)", "(-0.268, -0.236)","(-0.256, -0.263)", "(-0.679, -0.244)", "(-0.260, -0.231)", "(-0.396, -0.086)", "(-0.272, 0.247)", "(-0.207, -0.074)")
rE_activity <- c("0.005","-0.024", NA, "0.256", "-0.225", "-0.054", "-0.013", "0.058")
rE_activity_error_intervals <- c("(-0.255, 0.266)", "(0.243, -0.291)", NA,"(-0.021, 0.333)", "(-0.298, 0.048)", "(-0.248, 0.240)", "(-0.266, 0.240)", "(-0.225, 0.241)")
rE_task_persistence <- c("0.211", "-0.006", "-0.098", "0.093", "-0.002", "0.203", "0.047", "0.205")
rE_task_persistence_error_intervals <- c("(-0.046, 0.269)", "(0.257, -0.269)", "(-0.261, 0.064)", "(-0.065, 0.251)", "(-0.274, 0.270)", "(-0.065, 0.272)", "(-0.212, 0.206)", "(-0.071, 0.280)")
rG_emotionality <- c("0.230", "0.335", "-0.309", "0.368", "0.368", "0.327", "0.091", "-0.230")
rG_emotionality_error_intervals <- c("(-0.075, 0.335)", "(0.239, 0.631)", "(-0.256, -0.263)", "(0.234, 0.602)", "(0.284, 0.752)", "(0.229, 0.726)", "(-0.259, 0.340)", "(-0.311, 0.252)")
rE_emotionality <- c("0.005","-0.024", "-0.098", "0.256", "-0.225", "-0.054", "-0.013", "0.058")
rE_emotionality_error_intervals <- c("(-0.255, 0.266)", "(0.243, -0.291)", "(-0.261, 0.064)","(-0.021, 0.333)", "(-0.298, 0.048)", "(-0.248, 0.240)", "(-0.266, 0.240)", "(-0.225, 0.241)")
age <- c("slope", "intercept", "36", "30", "24", "18", "12", "6")
df <- data.frame(age, rG_activity, rG_activity_error_intervals, rG_task_persistence, rG_task_persistence_error_intervals, rE_activity, rE_activity_error_intervals, rE_task_persistence, rE_task_persistence_error_intervals, rG_emotionality, rG_emotionality_error_intervals, rE_emotionality, rE_emotionality_error_intervals)
#produce figure
library(data.table)
setDT(df)
df_tidy <- melt(df , measure.vars = list(values=c("rG_activity","rG_task_persistence","rE_activity","rE_task_persistence", "rG_emotionality", "rE_emotionality"),
intervals=c("rG_activity_error_intervals","rG_task_persistence_error_intervals","rE_activity_error_intervals","rE_task_persistence_error_intervals", "rG_emotionality_error_intervals","rE_emotionality_error_intervals")))
df_tidy[ , values:=as.numeric(values)]
df_tidy[ , c("lci", "uci") := tstrsplit(gsub("[()]","",intervals),split=",",type.convert = TRUE)]
df_tidy[ , condition := c("rG_activity", "rG_persistence", "rE_activity", "rE_persistence", "rG_emotionality", "rE_emotionality")[variable]]
df_tidy[ , c("what","type") := tstrsplit(condition,split="_")]
ggplot(df_tidy) +
aes(x=age, y=values, ymin=lci, ymax=uci,fill=what) +
geom_col(position = "dodge", color = "black", width = 0.7) +
geom_errorbar(position=position_dodge(width=0.7),width=0.25) +
facet_wrap(~type, ncol=1) +
scale_fill_grey(
start = 0.8,
end = 0.475,
na.value = "red",
aesthetics = "fill"
) +
geom_text(size=2.75,aes(label=values,y=if_else(values > 0, uci, lci) + .1 * if_else(values > 0, 1, -1)),
position=position_dodge(width=0.7)) +
theme_classic() +
labs(y = "Correlation") +
labs(x = "") +
theme(legend.position = "bottom", legend.title=element_blank(), legend.margin=margin(-15, 0, 0, 0)) +
scale_x_discrete(limits = c("6", "12", "18", "24", "30", "36", "slope", "intercept"),
labels = c("6"="Age 6", "12"="Age 12", "18"="Age 18", "24"="Age 24", "30"="Age 30", "36"="Age 36", "slope", "intercept"))
Which produces this figure…
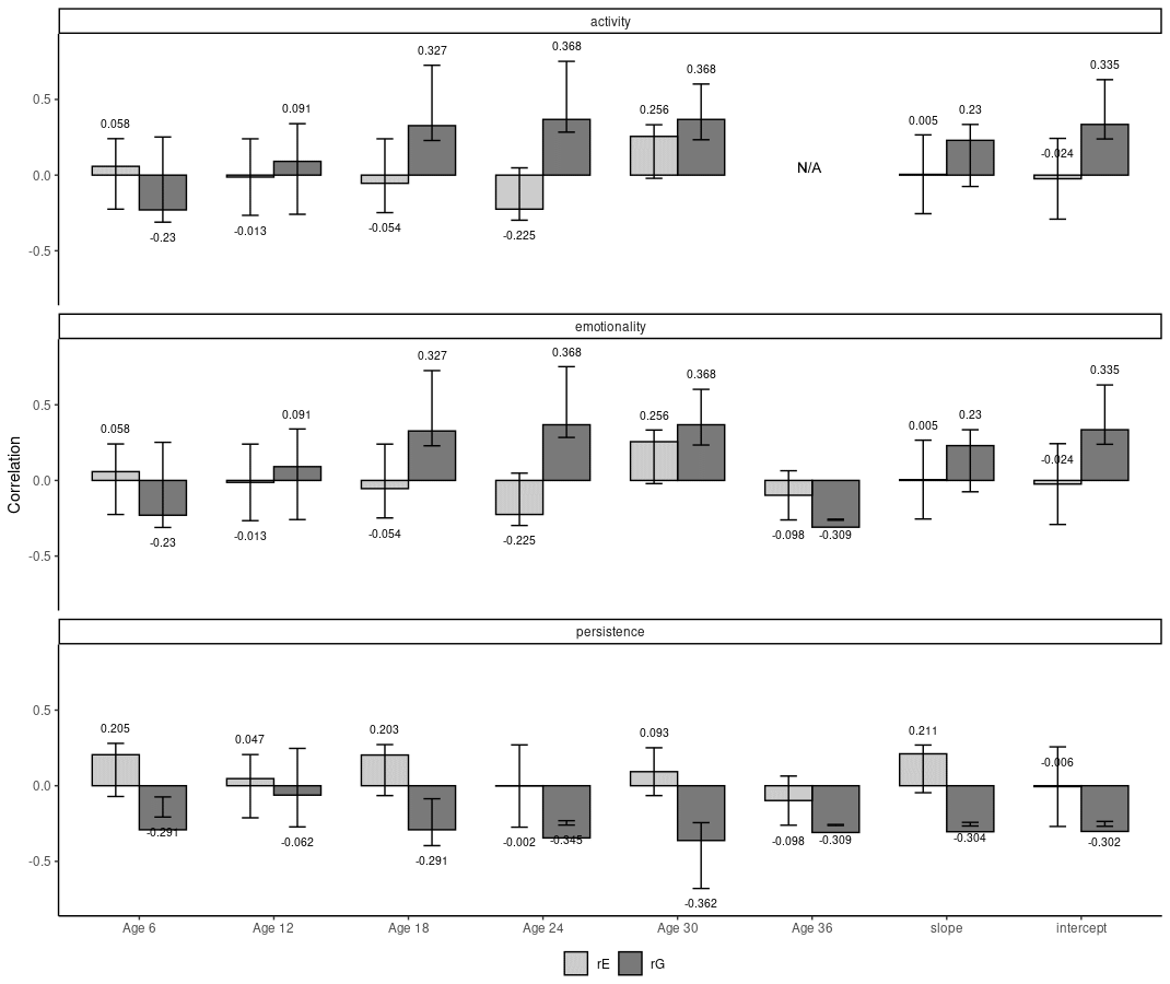
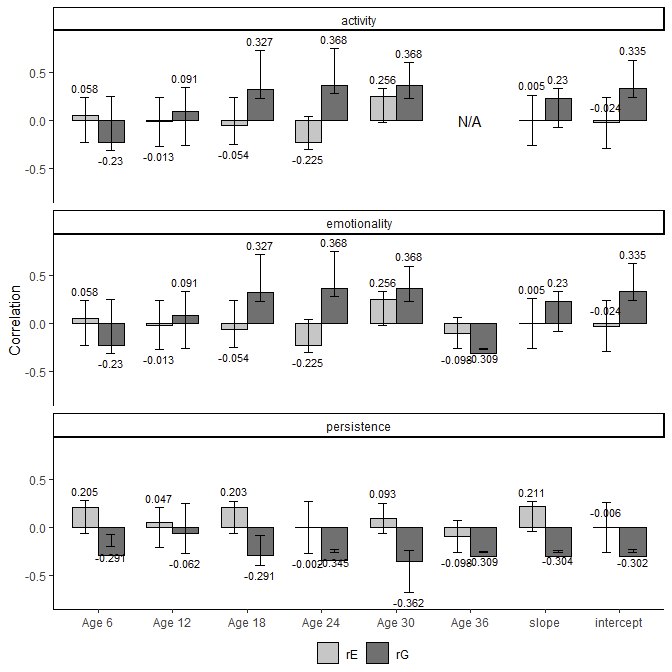
Due to missing data, there are no bars present for activity at age 36. I would like to replace this empty space with an N/A label to get something like below. How would I modify my code to do this?
>Solution :
We can just add geom_text for the empty rows in df_tidy dynamically.
BLUF, add this to your code
+ geom_text(data = ~ unique(.[is.na(values),], by = c("age", "type")), label ="N/A", y = 0)
In all,
ggplot(df_tidy) +
aes(x=age, y=values, ymin=lci, ymax=uci,fill=what) +
geom_col(position = "dodge", color = "black", width = 0.7) +
geom_errorbar(position=position_dodge(width=0.7),width=0.25) +
facet_wrap(~type, ncol=1) +
scale_fill_grey(
start = 0.8,
end = 0.475,
na.value = "red",
aesthetics = "fill"
) +
geom_text(size=2.75,aes(label=values,y=if_else(values > 0, uci, lci) + .1 * if_else(values > 0, 1, -1)),
position=position_dodge(width=0.7)) +
theme_classic() +
labs(y = "Correlation") +
labs(x = "") +
theme(legend.position = "bottom", legend.title=element_blank(), legend.margin=margin(-15, 0, 0, 0)) +
scale_x_discrete(limits = c("6", "12", "18", "24", "30", "36", "slope", "intercept"),
labels = c("6"="Age 6", "12"="Age 12", "18"="Age 18", "24"="Age 24", "30"="Age 30", "36"="Age 36", "slope", "intercept")) +
geom_text(data = ~ unique(.[is.na(values),],
by = c("age", "type")), label = "N/A", y = 0)
I’m using the rlang-style ~-function for data=, subsetting the data as it was passed to ggplot(.). While in this example we could easily use df_tidy directly, there are many users who %>%-pipe data into ggplot, and the risk of using the raw dataframe there is that columns are changed or not available. The use of . in the data=~-expression is that it is updated to what ggplot knows.


