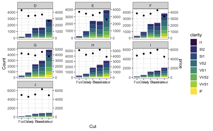
I need a stacked bar chart showing the diamonds by cut and clarity with count on the primary y-axis (left-hand-side) and the average price on the secondary x-axis (right-hand-side). How do I include a legend item for the dots? The desired plot should have another key for the dots: just a black dot on a white background and reads "average price".
A dummy df for the dots
library(dplyr)
price.avg <- diamonds %>%
group_by(cut, color) %>%
summarise(price = mean(price))
Main plot with double y-axes
library(ggplot2)
diamonds %>%
ggplot() +
geom_bar(aes(x = cut, fill = clarity)) +
facet_wrap(~ color, scale="free_y") +
ylab("Count") +
xlab("Cut") +
geom_point(data = price.avg, aes(x = cut, y = price)) +
scale_y_continuous(sec.axis = sec_axis(~. * 1, name = "price"))
Using geom_point(data = price.avg, aes(x = cut, y = price), show.legend = TRUE) put a dot in each of the legend keys, which I don’t want to have.
Thanks for stopping by.
>Solution :
You can include a dummy variable which has the same value in your price.avg dataframe, then use aes(color) on the dummy, and set scale_color_manual.
library(dplyr)
library(ggplot2)
price.avg <- diamonds %>%
group_by(cut, color) %>%
summarise(price = mean(price), dummy = "1")
diamonds %>%
ggplot() +
geom_bar(aes(x = cut, fill = clarity)) +
facet_wrap(~ color, scale="free_y") +
ylab("Count") +
xlab("Cut") +
geom_point(data = price.avg, aes(x = cut, y = price, col = dummy)) +
scale_y_continuous(sec.axis = sec_axis(~. * 1, name = "price")) +
scale_color_manual(name = "", label = "Average price", values = "black")
Or simply add a fake aes(color = "") in geom_point, and set scale_color_manual
diamonds %>%
ggplot() +
geom_bar(aes(x = cut, fill = clarity)) +
facet_wrap(~ color, scale="free_y") +
ylab("Count") +
xlab("Cut") +
geom_point(data = price.avg, aes(x = cut, y = price, col = "")) +
scale_y_continuous(sec.axis = sec_axis(~. * 1, name = "price")) +
scale_color_manual(name = "", label = "Average price", values = "black")
Output


