I am trying to visualize the top 3 or n bars in R in an order one after another. I have followed Question on stack overflow in which he did exactly the same what I want. In my dataset, I don’t have y-axis values where as desc() function requires one argument. I don’t know what argument should I pass in this desc() function which can give me the top 3 or n bars of a bar graph.
Mentioned below is my code and df. The first code for the bar graph works but not for the top 3 bars.
values_1
1 C123
2 B323
3 C123
4 R333
5 R334
6 N123
7 U322
8 C123
9 U322
10 R444
Bars<- ggplot(df)+geom_bar(aes(x=values_1), bandwidth=0.5)+
ylab("Frequency")+xlab("My Values")
plot(Bars)
Code For top 3 Bars
df %>%
arrange(desc()) %>%
slice(1:3) %>%
ggplot(aes(x=values_1))+
geom_bar()
Error
Error in arrange()
dec() must be called with exactly one argument.
>Solution :
We may need count
library(ggplot2)
library(dplyr)
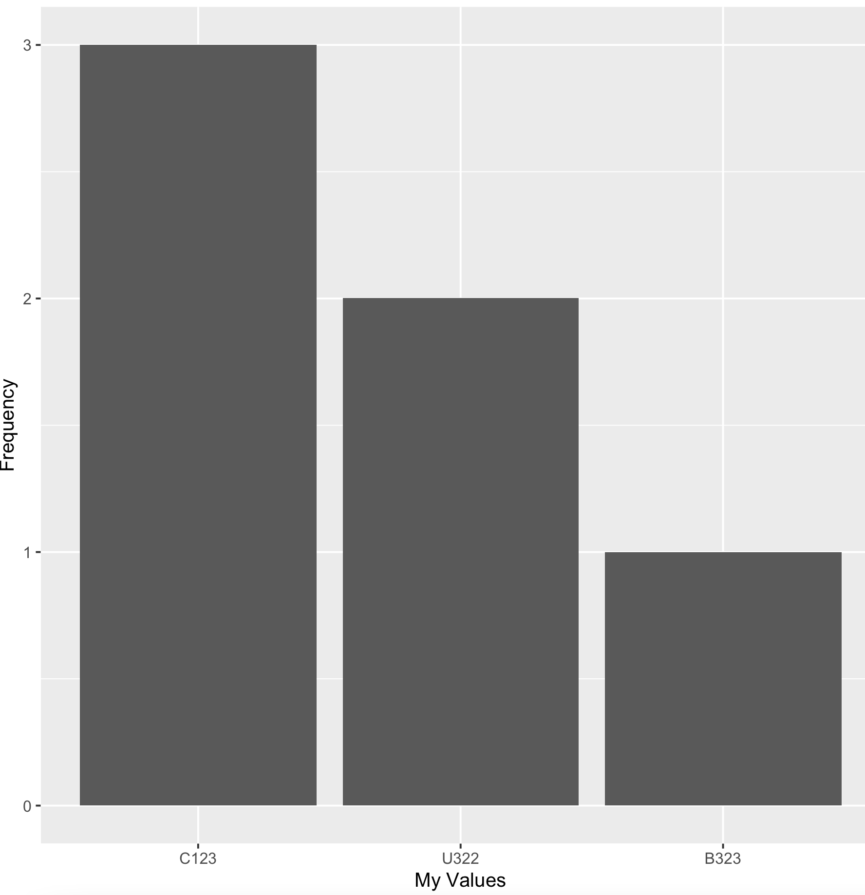
df %>%
count(values_1, sort = TRUE) %>%
slice_head(n = 3) %>%
mutate(values_1 = factor(values_1, levels = unique(values_1))) %>%
ggplot(aes(x = values_1, y = n)) +
geom_col() +
ylab("Frequency")+
xlab("My Values")
-output
data
df <- structure(list(values_1 = c("C123", "B323", "C123", "R333", "R334",
"N123", "U322", "C123", "U322", "R444")), class = "data.frame",
row.names = c("1",
"2", "3", "4", "5", "6", "7", "8", "9", "10"))
