# library
library(ggplot2)
library(dplyr)
# Start with the diamonds dataset, natively available in R:
p <- diamonds %>%
# Add a new column called 'bin': cut the initial 'carat' in bins
mutate(bin=cut_width(carat, width = 0.5, boundary=0) ) %>%
# plot
ggplot(aes(x=bin, y= x) ) +
geom_boxplot() +
xlab("Carat") + geom_abline(slope = 1, intercept = 0)
p
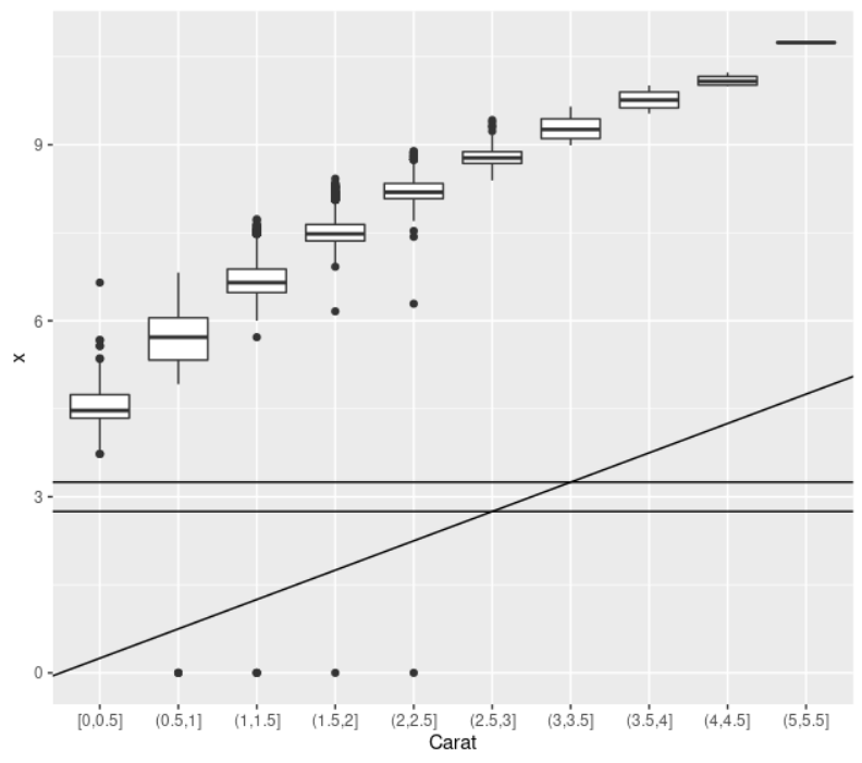
I tried using geom_abline to add a 45-degree diagonal line. This produces a black line. However, this does not exactly match with the bin on the x-axis. For example, when bin = (2.5,3], the black line’s y-coordinate is at 6.
I roughly drew (in blue) where I think the 45-degree diagonal line should be. For example, for bin = (2.5, 3], the y-coordinate should 2.75 (mid-point of the bin). For bin = (3, 3.5], the y-coordinate should be 3.25 (mid-point of the bin). Is there a way to produce this line in ggplot?
>Solution :
For ggplot, any categories on an axis have a distance of 1. So geom_abline with a slope of 1 will increase your y-axis with 1 for each category. Since your bins are of size 1/2, using a slope of 0.5 will draw the slope correctly.
We also need to adjust the intercept to -0.25. This is because the first bin is at x-coordinate 1, not 0.25.
p <- diamonds %>%
# Add a new column called 'bin': cut the initial 'carat' in bins
mutate(bin=cut_width(carat, width = 0.5, boundary=0) ) %>%
# plot
ggplot(aes(x = bin, y = x)) +
geom_boxplot() +
xlab("Carat") +
geom_abline(slope = 0.5, intercept = -0.25) +
geom_hline(yintercept = c(2.75, 3.25))
Note that I also drew 2 horizontal lines to confirm that this fits your manually worked out example values.

