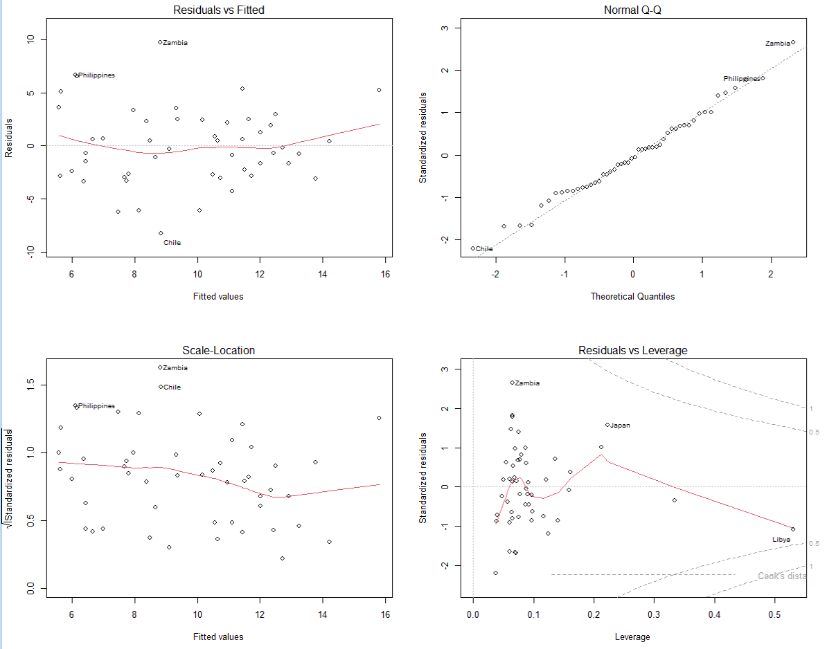
I am running a simple linear regression model
lm.SR <- lm(sr ~ pop15 + pop75 + dpi + ddpi, data = LifeCycleSavings)
This is my diagnostic plot using the default plot() function
plot(lm.SR)
I like to remove the red trend line from the diagnostic plots. Not sure how to do that. Any help is highly appreciated. Thanks.
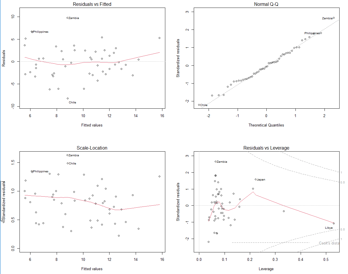
>Solution :
Try:
plot(lm.SR, add.smooth = FALSE)
When you plot an object of class lm you are using plot.lm, so you can use ?plot.lm to see the available options.
