So i am trying to show a connection in strategic voting and age using a linear regression. To that end, I have created the following df showing the mean of the people who voted or didnt vote strategically.
structure(list(StrategischeWahl2021 = c("0", "1"), Q3 = c(26.8603351955307, 27.6375)),class = c("tbl_df", "tbl", "data.frame"), row.names = c(NA, -2L))
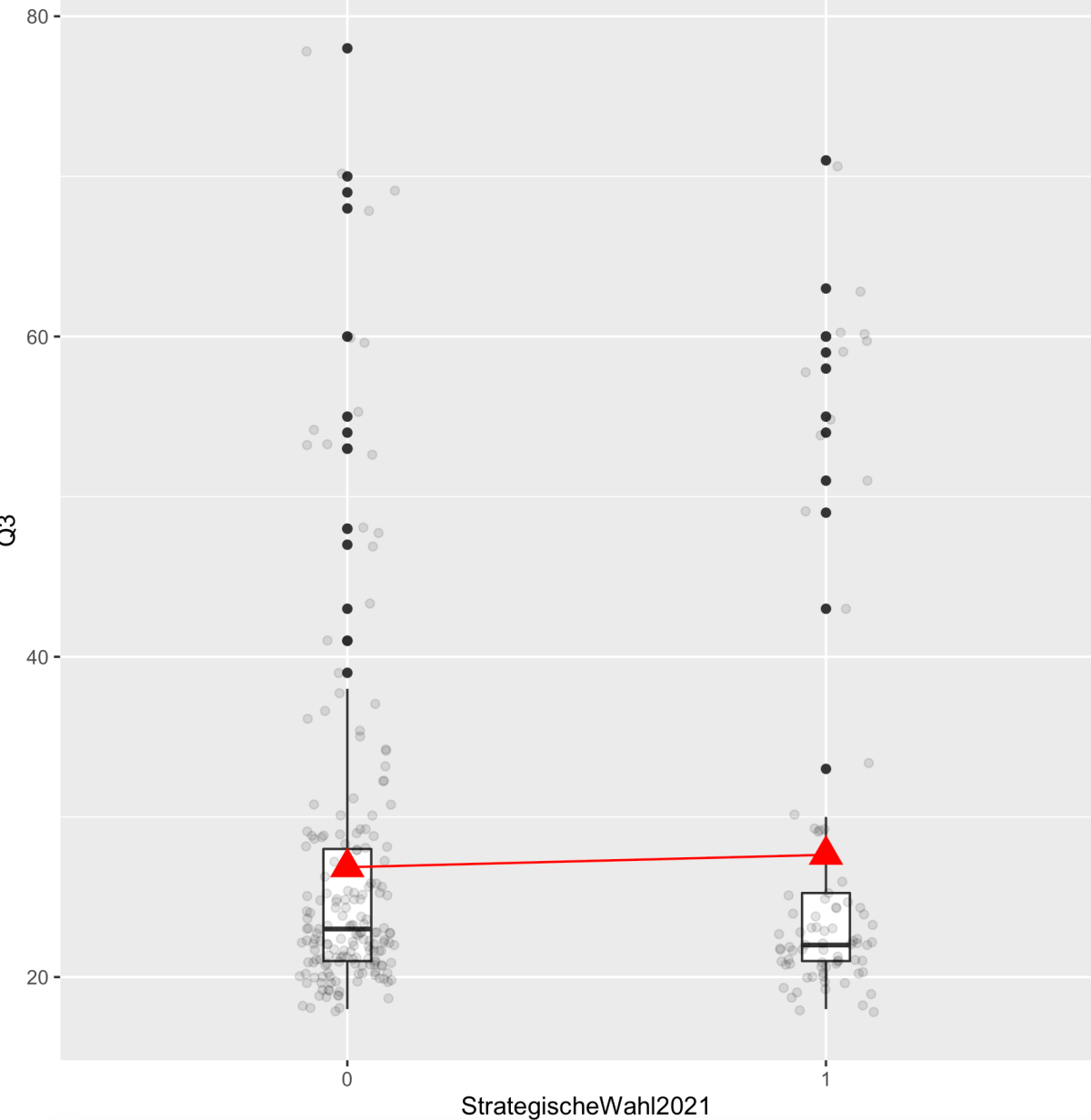
I then proceeded to plot this
, but as you can see, my geompoints are way of. The real means are 26.8 and 27.6, but in the graph they appear somewhere around 48-51. I have no clue what is causing this, and would appreciate any insight as to whats causing this and how it can be fixed.
Thank you very much in advance 😉
Code used for graph:
Deskriptive_Statistik %>%
ggplot()+
aes(x=StrategischeWahl2021, y=Q3)+
geom_boxplot(width = .1)+
geom_jitter(width = .1, alpha = .1)+
geom_point(data= Alter_Strat2021,
color="red",
size=5,
shape=17)+
geom_line(data=Alter_Strat2021,
group=1,
color="red")
Data Deskriptive_Statistik:
dput(Deskriptive_Stistik)
structure(list(Q3 = c("24", "20", "20", "19", "21", "33", "27",
"20", "53", "31", "21", "22", "21", "20", "25", "21", "24", "29",
"53 ", "20", "21", "22", "48", "28", "20", "23", "29", "29",
"23", "41", "29", "21", "29", "47", "23", "53", "34", "19", "23",
"24", "29", "29", "20", "22", "29", "25", "21", "22", "29", "20",
"30", "21", "23", "19", "23", "18", "25", "22", "28", "25", "22",
"21", "24", "24", "29", "55", "20", "20", "21", "20", "28", "22",
"21", "22", "20", "31", "22", "20", "31", "22", "22", "30", "20",
"22", "18", "23", "55", "22", "25", "25", "21", "39", "22", "20",
"49", "58", "20", "19", "21", "22", "29", "23", "32", "35", "20",
"20", "21", "28", "24", "28", "60", "70", "43", "21", "25", "60",
"34", "54", "24", "25", "23", "21", "48", "20", "25", "24", "21",
"25", "22", "24", "21", "22", "21", "18", "22", "21", "22", "18",
"19", "71", "23", "26", "18", "24", "21", "51", "37", "41", "23",
"25", "22", "35", "21", "18", "22", "29", "26", "21", "22", "23",
"43", "22", "23", "22", "21", "69", "20", "25", "54", "20", "26",
"28", "23", "28", "38", "21", "22", "78", "23", "25", "25", "63",
"32", "33", "20", "21", "20", "23", "21", "24", "19", "24", "37",
"21", "26", "24", "21", "23", "21", "19", "22", "22", "25", "20",
"22", "22", "19", "30", "19", "22", "19", "26", "23", "25", "21",
"36", "25", "22", "23", "22", "23", "22", "20", "21", "29", "22",
"19", "22", "22", "60", "29", "21", "20", "21", "23", "21", "23",
"19", "60", "59", "20", "23", "60", "23", "24", "22", "22", "27",
"23", "19", "22", "18", "21", "22", "19", "68", "26", "21", "20"
), StrategischeWahl2021 = c("0", "0", "0", "0", "0", "0", "0",
"0", "0", "0", "0", "0", "1", "0", "0", "0", "0", "0", "0", "0",
"0", "0", "0", "1", "1", "1", "0", "0", "0", "0", "1", "0", "0",
"0", "0", "0", "0", "1", "0", "0", "0", "0", "0", "0", "1", "0",
"1", "1", "0", "1", "1", "0", "1", "0", "1", "0", "0", "0", "0",
"0", "0", "1", "0", "0", "0", "1", "1", "0", "0", "0", "0", "0",
"0", "0", "0", "0", "0", "0", "0", "1", "0", "0", "1", "0", "1",
"0", "0", "1", "0", "1", "1", "0", "0", "0", "1", "1", "0", "1",
"0", "1", "1", "0", "0", "0", "0", "0", "1", "0", "0", "0", "1",
"0", "1", "1", "1", "1", "0", "1", "1", "0", "0", "0", "0", "1",
"0", "1", "0", "0", "0", "1", "0", "0", "0", "1", "1", "0", "0",
"1", "0", "1", "0", "0", "0", "0", "0", "1", "0", "0", "0", "1",
"1", "0", "0", "0", "0", "1", "0", "1", "0", "0", "0", "1", "0",
"1", "0", "0", "1", "0", "0", "1", "1", "0", "0", "0", "0", "0",
"0", "0", "1", "1", "0", "1", "0", "1", "0", "0", "0", "0", "0",
"1", "0", "1", "0", "1", "0", "0", "1", "0", "0", "0", "0", "0",
"0", "0", "1", "1", "0", "0", "0", "1", "0", "0", "1", "0", "1",
"0", "0", "0", "0", "0", "1", "0", "1", "1", "0", "1", "0", "0",
"1", "0", "0", "0", "0", "1", "0", "1", "0", "1", "1", "1", "0",
"0", "0", "0", "1", "0", "0", "0", "1", "1", "0", "0", "0", "1",
"1", "0", "0", "0", "0")), class = c("grouped_df", "tbl_df",
"tbl", "data.frame"), row.names = c(NA, -259L), groups = structure(list(
StrategischeWahl2021 = c("0", "1"), .rows = structure(list(
c(1L, 2L, 3L, 4L, 5L, 6L, 7L, 8L, 9L, 10L, 11L, 12L,
14L, 15L, 16L, 17L, 18L, 19L, 20L, 21L, 22L, 23L, 27L,
28L, 29L, 30L, 32L, 33L, 34L, 35L, 36L, 37L, 39L, 40L,
41L, 42L, 43L, 44L, 46L, 49L, 52L, 54L, 56L, 57L, 58L,
59L, 60L, 61L, 63L, 64L, 65L, 68L, 69L, 70L, 71L, 72L,
73L, 74L, 75L, 76L, 77L, 78L, 79L, 81L, 82L, 84L, 86L,
87L, 89L, 92L, 93L, 94L, 97L, 99L, 102L, 103L, 104L,
105L, 106L, 108L, 109L, 110L, 112L, 117L, 120L, 121L,
122L, 123L, 125L, 127L, 128L, 129L, 131L, 132L, 133L,
136L, 137L, 139L, 141L, 142L, 143L, 144L, 145L, 147L,
148L, 149L, 152L, 153L, 154L, 155L, 157L, 159L, 160L,
161L, 163L, 165L, 166L, 168L, 169L, 172L, 173L, 174L,
175L, 176L, 177L, 178L, 181L, 183L, 185L, 186L, 187L,
188L, 189L, 191L, 193L, 195L, 196L, 198L, 199L, 200L,
201L, 202L, 203L, 204L, 207L, 208L, 209L, 211L, 212L,
214L, 216L, 217L, 218L, 219L, 220L, 222L, 225L, 227L,
228L, 230L, 231L, 232L, 233L, 235L, 237L, 241L, 242L,
243L, 244L, 246L, 247L, 248L, 251L, 252L, 253L, 256L,
257L, 258L, 259L), c(13L, 24L, 25L, 26L, 31L, 38L, 45L,
47L, 48L, 50L, 51L, 53L, 55L, 62L, 66L, 67L, 80L, 83L,
85L, 88L, 90L, 91L, 95L, 96L, 98L, 100L, 101L, 107L,
111L, 113L, 114L, 115L, 116L, 118L, 119L, 124L, 126L,
130L, 134L, 135L, 138L, 140L, 146L, 150L, 151L, 156L,
158L, 162L, 164L, 167L, 170L, 171L, 179L, 180L, 182L,
184L, 190L, 192L, 194L, 197L, 205L, 206L, 210L, 213L,
215L, 221L, 223L, 224L, 226L, 229L, 234L, 236L, 238L,
239L, 240L, 245L, 249L, 250L, 254L, 255L)), ptype = integer(0), class = c("vctrs_list_of",
"vctrs_vctr", "list"))), class = c("tbl_df", "tbl", "data.frame"
), row.names = c(NA, -2L), .drop = TRUE))
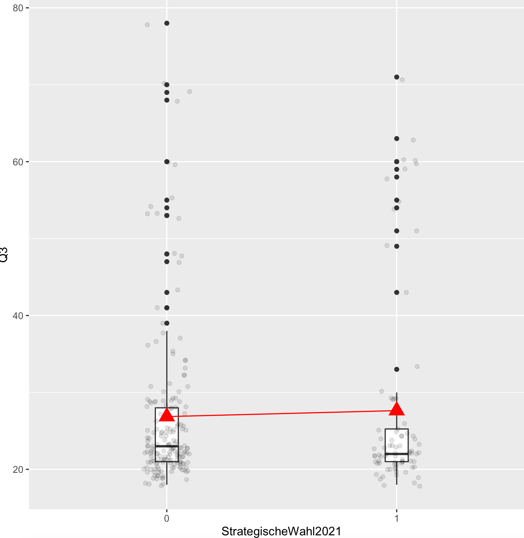
>Solution :
We need to convert the column ‘Q3’ to numeric
library(dplyr)
library(ggplot2)
Deskriptive_Statistik %>%
ungroup %>% mutate(Q3 = as.numeric(Q3)) %>%
ggplot()+
aes(x=StrategischeWahl2021, y=Q3)+
geom_boxplot(width = .1)+
geom_jitter(width = .1, alpha = .1)+
geom_point(data= Alter_Strat2021,
color="red",
size=5,
shape=17) + geom_line(data=Alter_Strat2021,
group=1,
color="red")
-output
