I am struggling to make a graph, using ggplot2.
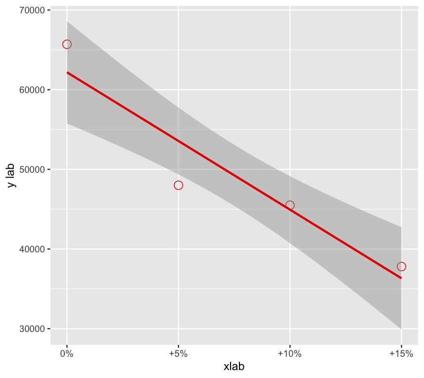
below, you can see the output I get and the relative code:
library(ggplot2)
## Defining Dataframe
Dati <- data.frame(Correction = c("0%", "+5%", "+10%", "+15%"),
Vix = c(65700, 48000, 45500, 37800))
## Create factors
Dati$Correction <- as.factor(Dati$Correction)
Dati$Correction <- factor(Dati$Correction, levels = c("0%", "+5%", "+10%", "+15%"))
## Defining graph
Graph <- ggplot(data=Dati, aes(x=Correction, y=Vix)) + geom_point(color = "#e60000", shape = 1, size = 3.5) +
geom_smooth(aes(as.numeric(Correction), Vix), level=0.75, span = 1, color = "#e60000", method=lm) +
xlab("xlab") + ylab("y lab") + labs(color='') +
guides(color = FALSE, size = FALSE)
Graph
What I would like is to set the limits, perhaps with scale_x_discrete() but I am not succeeding with it, so as to remove the external space before and after the line:
Is it possible to do somehow? I would like to do this also in case in x-axis would be presents textual values.
thank you in advance for every eventual help.
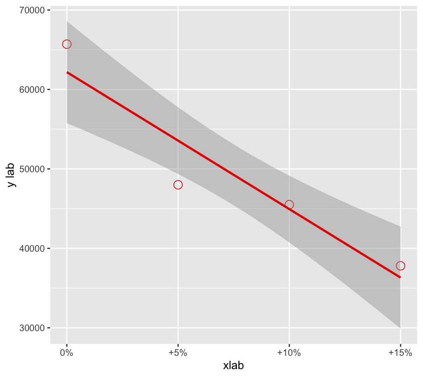
>Solution :
You should set an expand in the scale_x_discrete function. This will change the limits of your discrete x-axis. You can change this to what you want. You can use this code:
## Defining graph
Graph <- ggplot(data=Dati, aes(x=Correction, y=Vix)) + geom_point(color = "#e60000", shape = 1, size = 3.5) +
geom_smooth(aes(as.numeric(Correction), Vix), level=0.75, span = 1, color = "#e60000", method=lm) +
xlab("xlab") + ylab("y lab") + labs(color='') +
guides(color = FALSE, size = FALSE) +
scale_x_discrete(expand=c(0.05, 0))
Graph
Output:


