I have a df like this and would like to plot stacked bar chart where in the x axis is Component and the y-axis shows the count by ‘Major’, ‘Minor’ etc.
Component Priority
0 Browse Groups Minor
1 Notifications Major
2 BI Major
3 BI Minor
4 BI Minor
For example, the first bar would have 1st component with a count of 1 minor,..so on.. and 3rd would have ‘BI’ in x-axis with 1 count of Major and 2 counts of Minor stacked.
What is the simplest way to do this in seaborn or something similar?
>Solution :
You can groupby both columns and count on Priority, then unstack and plot as stacked bar chart:
df.groupby(['Component', 'Priority']).Priority.count().unstack().plot.bar(stacked=True)
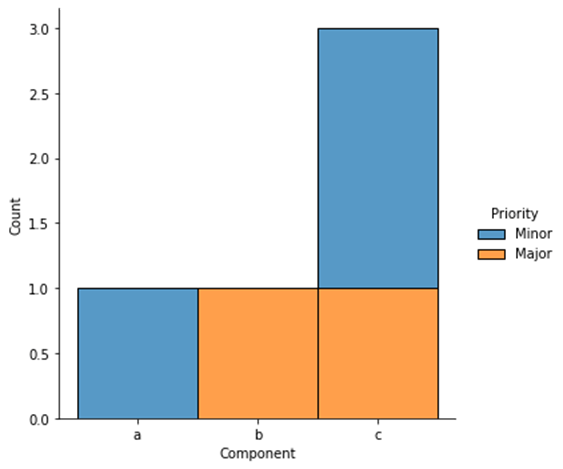
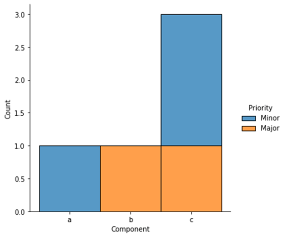
Example:
import pandas as pd
df = pd.DataFrame({'Component': list('abccc'), 'Priority': ['Minor', 'Major', 'Major', 'Minor', 'Minor']})
df.groupby(['Component', 'Priority']).Priority.count().unstack().plot.bar(stacked=True)
As an alternative, you can use a crosstab:
pd.crosstab(df.Component, df.Priority).plot.bar(stacked=True)
If you want to use seaborn (I only now saw the seaborn tag), you can use a displot:
import seaborn as sns
sns.displot(x='Component', hue='Priority', data=df, multiple='stack')

