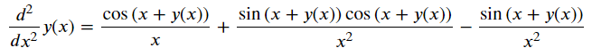
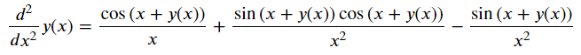
I have the following differential equation:
I’m trying to find the second derivative of y with respect to x. The expected result is as follows:
I’m trying to use sympy to give me the above expression. This is what I’ve tried:
from sympy import *
x = symbols('x')
y = Function('y')
#initial value condition: y(1) = 0.5
# first derivative represented as d1
d1 = sin(x+y(x))/x
# second derivative represented as d2
d2 = diff(d1,x)
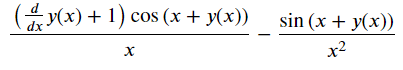
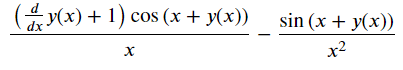
The result for d2 is:
This is where I’m stuck; how do I substitute the (d/dx)(y(x)) term with the expression d1?
Thank you for your help.
>Solution :
You can use subs to substitute for the derivative:
In [13]: d1.diff(x).subs(y(x).diff(x), d1)
Out[13]:
⎛ sin(x + y(x))⎞
⎜1 + ─────────────⎟⋅cos(x + y(x))
⎝ x ⎠ sin(x + y(x))
───────────────────────────────── - ─────────────
x 2
x


