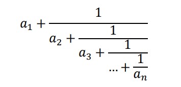
I’m trying to make a function for calculating this formula
#include <iostream>
#include <vector>
double Sequence(std::vector < double > & a) {
double result = 0;
for (int i = a.size() - 1; i > 0; i--) {
if (a[i] == 0) throw std::domain_error("Dividing with 0");
if (i > 1)
result += 1 / (a[i - 1] + 1 / a[i]);
else result += a[i - i];
std::cout << a[i] << " " << result << " " << "\n";
}
return result;
}
int main() {
std::vector<double>a{1,2,3,4,5};
try {
std::cout << Sequence(a);
} catch (std::domain_error e) {
std::cout << e.what();
}
return 0;
}
Code gives correct result for {1,2,3} sequence. However, if I add a few numbers to that sequence result becomes wrong. Could you help me to fix this?
>Solution :
if (i > 1)
result += 1 / (a[i - 1] + 1 / a[i]);
else result += a[i - i];
This is wrong; it just happens to work if you have three or fewer terms.
The recurrence you actually want is
if (i == a.size() - 1) {
result = a[i];
} else {
result = a[i] + 1 / result;
}
you can see that this is a correct recurrence by the fact that
Tidying up some more things (removing the condition from inside the loop, fixing an off-by-one in the loop termination condition, and correcting the exception condition):
double Sequence(std::vector<double> &a) {
double result = a[a.size() - 1];
for (int i = a.size() - 1; i >= 0; i--) {
if (result == 0)
throw std::domain_error("Dividing with 0");
result = a[i] + 1 / result;
}
return result;
}
