I have a pandas dataframe like below
import pandas as pd
data = [[5, 10], [4, 20], [15, 30], [20, 15], [12, 14], [5, 5]]
df = pd.DataFrame(data, columns=['x', 'y'])
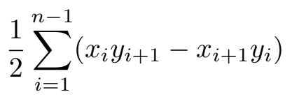
I am trying to attain the value of this expression.
I havnt got an idea how to mutiply first value in a column with 2nd value in another column like in the expression.
>Solution :
Try pd.DataFrame.shift() but I think you need to enter -1 into shift judging by the summation notation you posted. i + 1 implies using the next x or y, so shift needs to use a negative integer to shift 1 number ahead. Positive integers in shift go backwards.
Can you confirm 320 is the right answer?
0.5 * ((df.x * df.y.shift(-1)) - (df.x.shift(-1) + df.y)).sum()
>>>320
