module mealy(input x_in,rst_n,clk, output reg y_out);
parameter s0 = 2'b00, s1 = 2'b01 , s2 = 2'b10;
reg [1:0] p_state,n_state;
always@(posedge clk,negedge rst_n) begin
if(!rst_n) p_state <= s0;
else
p_state <= n_state;
end
always@(x_in,p_state) begin
case (p_state)
s0:
n_state = x_in ? s2 : s1;
s1:
n_state = x_in ? s2 : s1;
s2:
n_state = x_in ? s2 : s1;
endcase
end
always@(x_in,p_state) begin
case (p_state)
s0:
y_out = 1'b0;
s1:
y_out = x_in ? 1'b1 : 1'b0;
s2:
y_out = !x_in ? 1'b1 : 1'b0;
endcase
end
endmodule
module mealy_tb;
reg x_in,rst_n,clk;
wire y_out;
mealy dut(x_in,rst_n,clk,y_out);
initial begin
clk = 1'b0;
forever #10 clk = ~clk;
end
initial begin
rst_n = 1'b0;
repeat(1000) begin
x_in = {$random};
rst_n = 1'b1;
#10;
end
end
endmodule
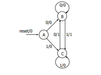
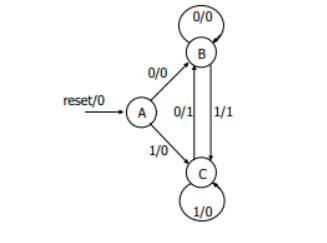
The state diagram is given below:

I am getting don’t-care output. Also I am not able to view the state diagram in the state diagram viewer. I have specified the behaviour and output for each state. I am not able to find the error in the code. I need some guidance on writing code for state machines and also the reason why this code does not work?
>Solution :
You did not reset your design properly. Add a delay after setting rst_n to 0:
initial begin
rst_n = 1'b0;
#20;
repeat(1000) begin
x_in = {$random};
rst_n = 1'b1;
#10;
end
end
The problem was easy to identify by viewing waveforms of your simulation. rst_n was always 1, which meant that p_state was always x (unknown).